欢迎您
登录 | 注册


冯兴旺

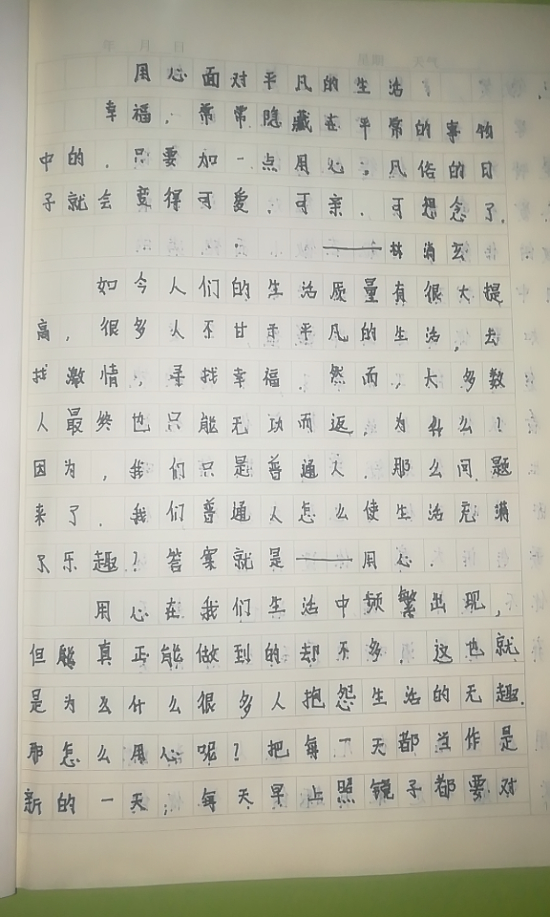
用心面对平凡的生活

发表时间:2021-08-22 14:22 阅读次数:348 评论次数:0

    
指导老师:王琳琳   所属学校:新郑市新郑高级中学
指导老师点评说明:
以下区域为指导老师点评区域,若您无法点评,请先核对此作文的指导老师名称与您的账户真实名称是否相同。
上一篇: 咀嚼
下一篇: 洗头发

我要评论

评论(共0条评论

评论

热门作文

年级热门作文

版权所有 © 2010-2018 郑州市中小学生网上作文博览