欢迎您
登录 | 注册


李文优

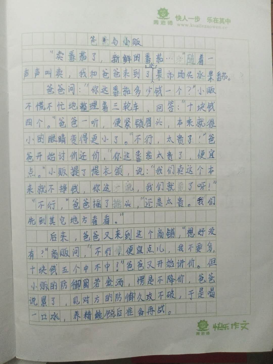
爸爸与小贩

发表时间:2020-07-21 14:15 阅读次数:593 评论次数:0

    
指导老师:郭冉   所属学校:郑州金水区龙门实验学校
指导老师点评说明:
以下区域为指导老师点评区域,若您无法点评,请先核对此作文的指导老师名称与您的账户真实名称是否相同。
上一篇: 鸡蛋和水遇到了盐
下一篇: 难忘的一个人

我要评论

评论(共0条评论

评论

热门作文

年级热门作文

版权所有 © 2010-2018 郑州市中小学生网上作文博览