欢迎您
登录 | 注册


董晴晴

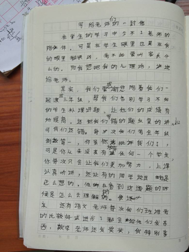
写给老师们的一封信

发表时间:2020-06-20 22:39 阅读次数:600 评论次数:0

    
指导老师:王娜敏   所属学校:郑州市中牟外国语学校幼儿园
指导老师点评说明:
以下区域为指导老师点评区域,若您无法点评,请先核对此作文的指导老师名称与您的账户真实名称是否相同。
上一篇: 我想告诉你
下一篇: 疫情

我要评论

评论(共0条评论

评论

热门作文

年级热门作文

版权所有 © 2010-2018 郑州市中小学生网上作文博览