欢迎您
登录 | 注册


侯宜林

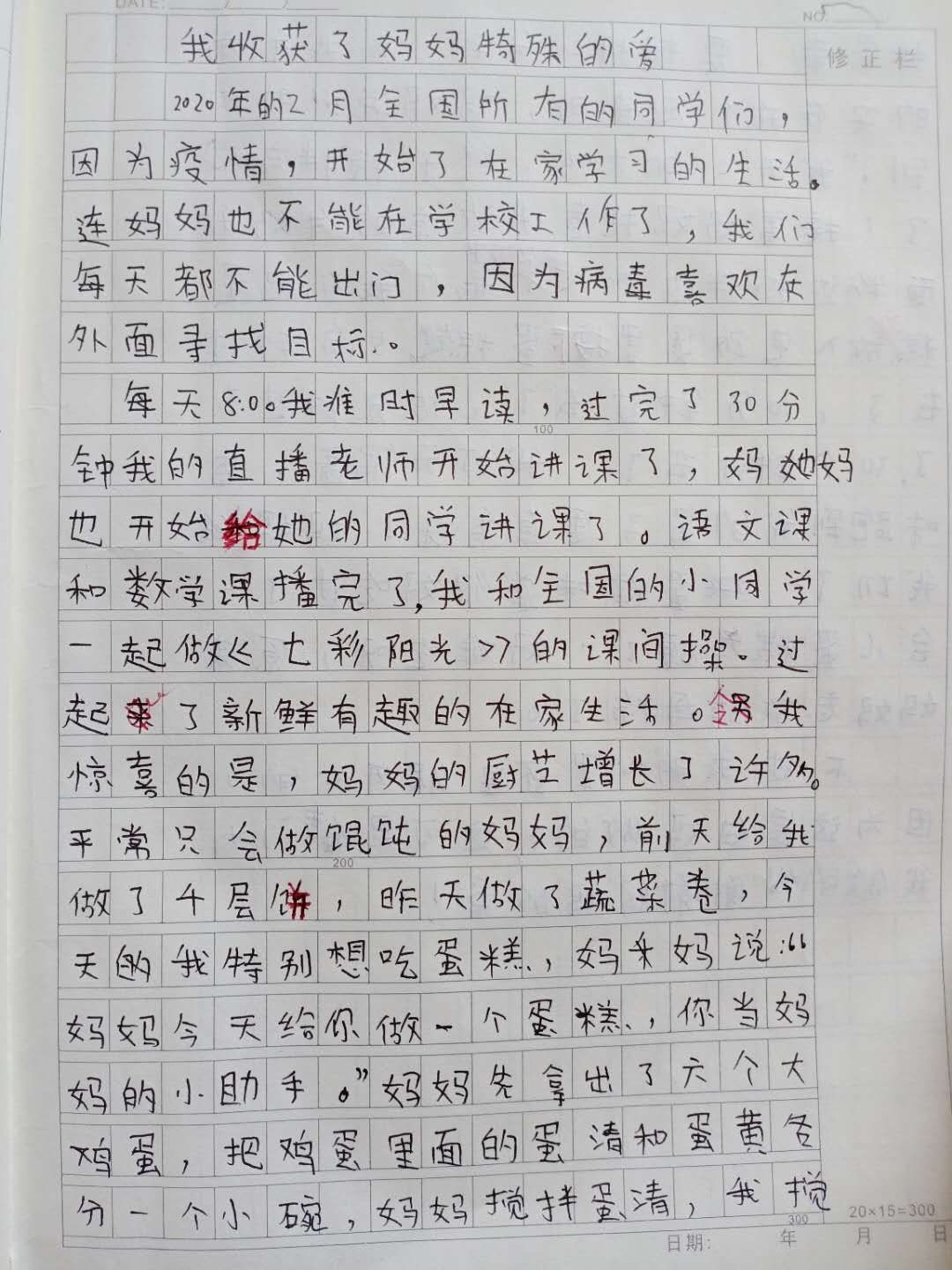
我收获了妈妈特殊的爱

发表时间:2020-06-01 09:53 阅读次数:247 评论次数:0

    
指导老师:刘文玉   所属学校:登封市通达路小学
指导老师点评说明:
以下区域为指导老师点评区域,若您无法点评,请先核对此作文的指导老师名称与您的账户真实名称是否相同。
上一篇: 我收获了友谊
下一篇: 写给姥姥的一封信

我要评论

评论(共0条评论

评论

热门作文

年级热门作文

版权所有 © 2010-2018 郑州市中小学生网上作文博览