欢迎您
登录 | 注册


蔡坷轩

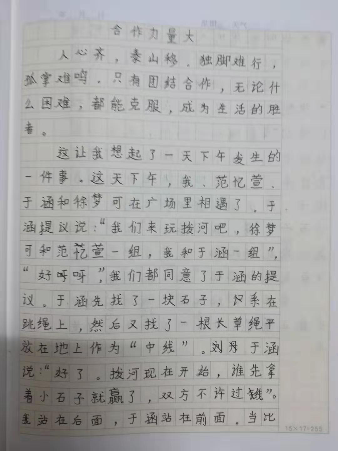
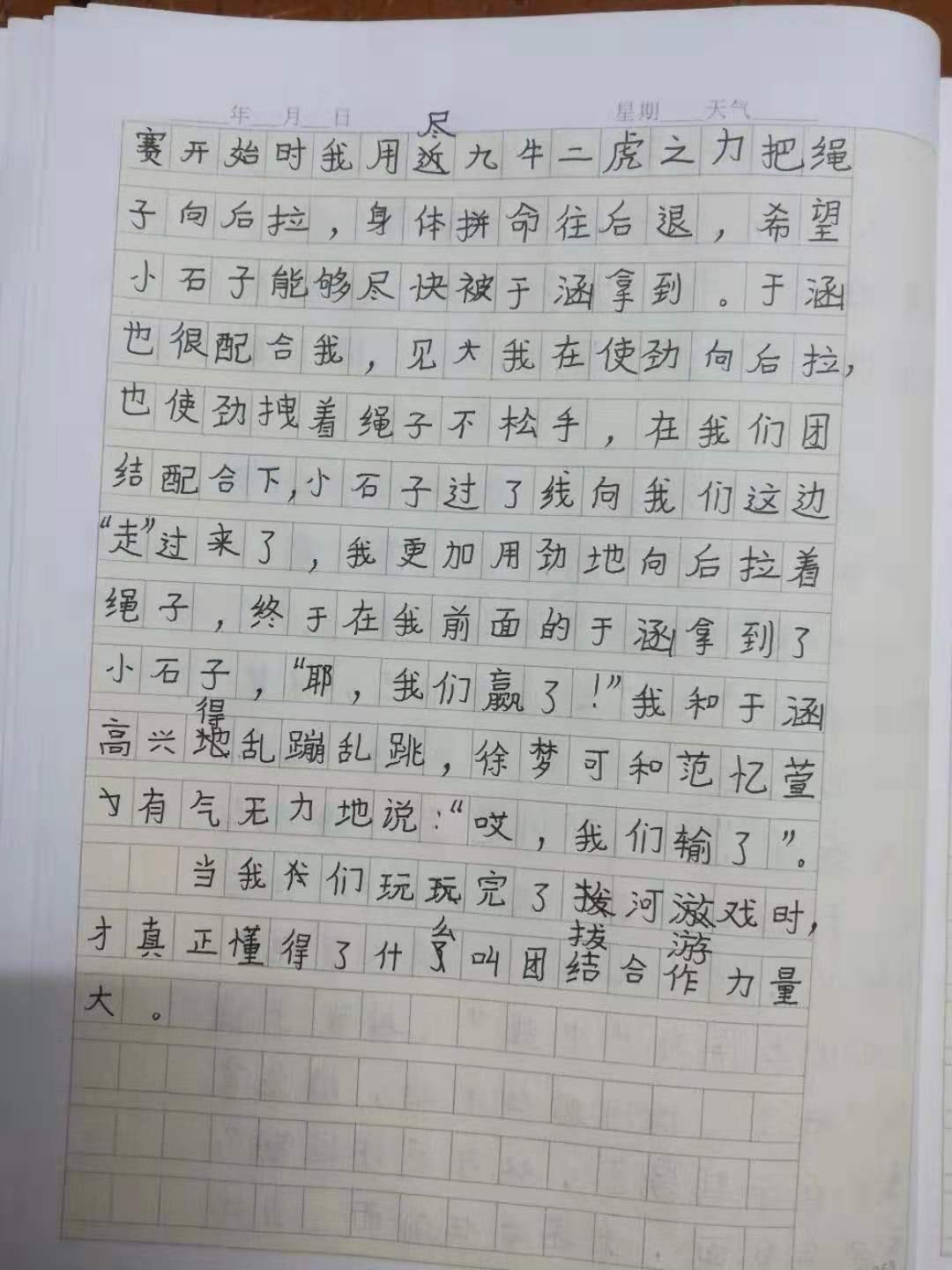
合作力量大

发表时间:2019-09-23 21:54 阅读次数:121 评论次数:0

    
指导老师:王学平   所属学校:新密市实验小学
指导老师点评说明:
以下区域为指导老师点评区域,若您无法点评,请先核对此作文的指导老师名称与您的账户真实名称是否相同。
上一篇: 合作力量大
下一篇: 我要为张程程竖起大拇指

我要评论

评论(共0条评论

评论

热门作文

年级热门作文

版权所有 © 2010-2018 郑州市中小学生网上作文博览