欢迎您
登录 | 注册


李俊红

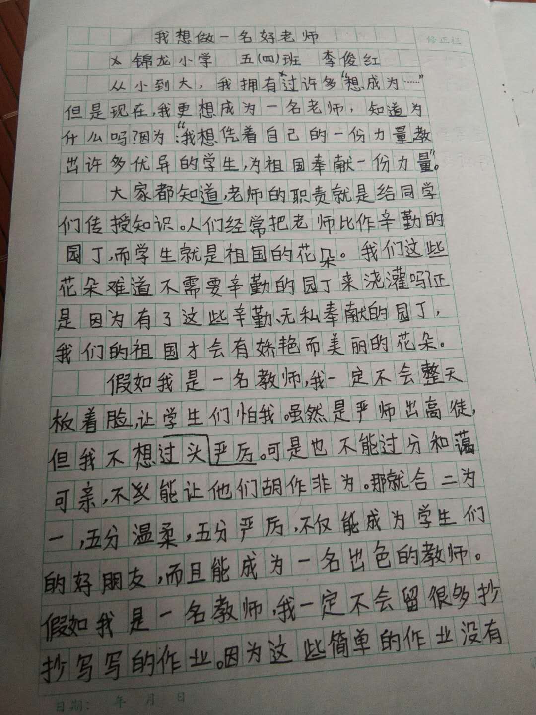
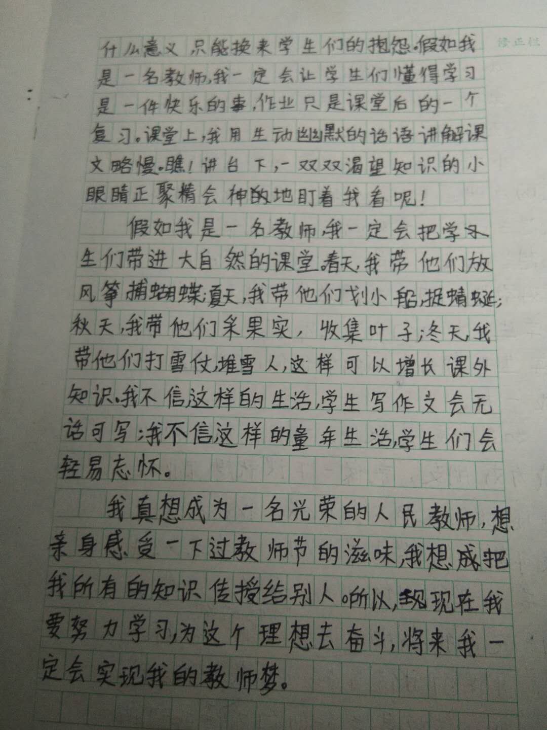
我想做一名好老师

发表时间:2018-10-05 20:28 阅读次数:401 评论次数:0

    
指导老师:李霞   所属学校:锦龙小学
指导老师点评说明:
以下区域为指导老师点评区域,若您无法点评,请先核对此作文的指导老师名称与您的账户真实名称是否相同。
指导老师点评:
    字迹工整,行文流畅,逻辑清晰,感情真切,内容令人反思,究竟怎样的老师才算好老师,或许老师也需要重新定义。很欣慰你是一个非常有自己想法的孩子,也坚信通过努力,你可以实现自己的梦想,加油!
上一篇: 神奇的教室
下一篇: 我的好朋友

我要评论

评论(共0条评论

评论

热门作文

年级热门作文

版权所有 © 2010-2018 郑州市中小学生网上作文博览