欢迎您
登录 | 注册


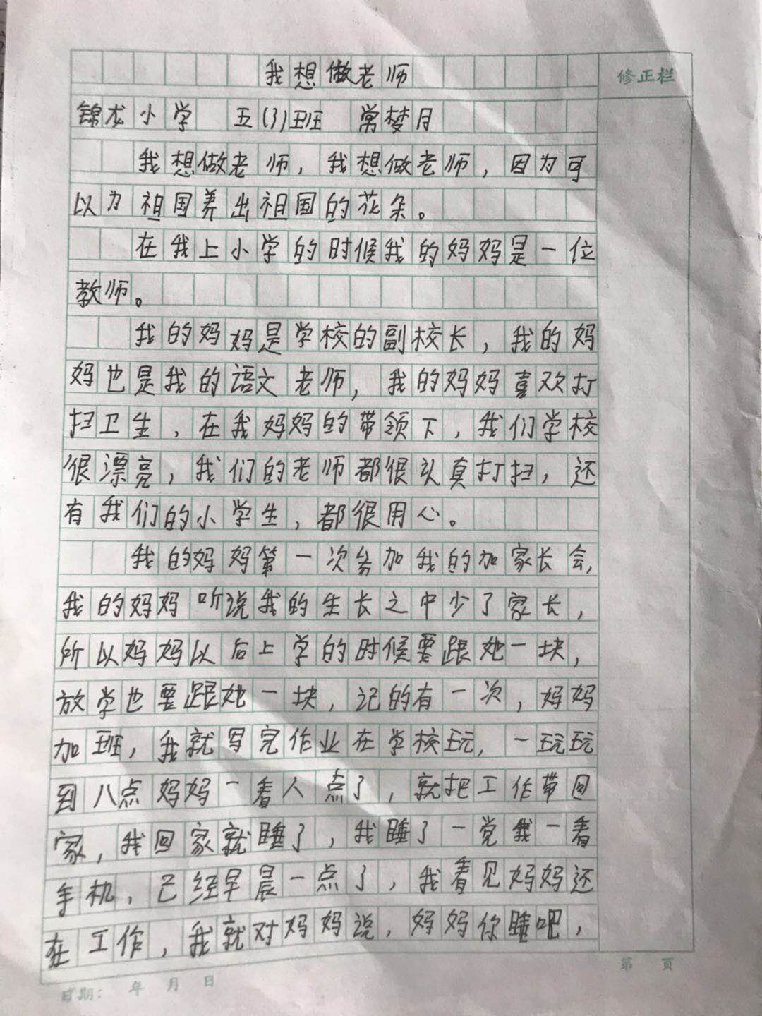
常梦月

我想做老师

发表时间:2018-09-30 20:53 阅读次数:454 评论次数:0

    
指导老师:刘瑞   所属学校:锦龙小学
指导老师点评说明:
以下区域为指导老师点评区域,若您无法点评,请先核对此作文的指导老师名称与您的账户真实名称是否相同。
指导老师点评:
    像妈妈一样做一个尽职尽责的老师是你的梦想,愿你在实现梦想的道路上努力拼搏,做最好的自己,早日实现自己的愿望。
上一篇: 遇见未来人
下一篇: 我想做老师

我要评论

评论(共0条评论

评论

热门作文

年级热门作文

版权所有 © 2010-2018 郑州市中小学生网上作文博览