欢迎您
登录 | 注册


郭紫琳

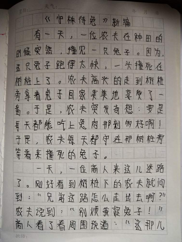
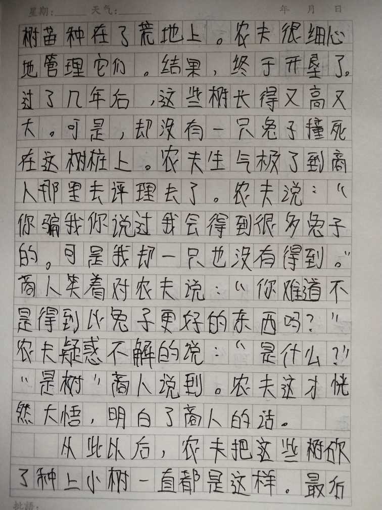
《守株待兔》新编

发表时间:2018-06-26 16:31 阅读次数:808 评论次数:0

    
指导老师:张桢   所属学校:荥阳市第一小学
指导老师点评说明:
以下区域为指导老师点评区域,若您无法点评,请先核对此作文的指导老师名称与您的账户真实名称是否相同。
指导老师点评:
    你能根据“守株待兔”的故事,展开合情合理的想象,故事叙述很完整,并且说明了人生的道理——努行动才会有所收获!文中有两个错别字“该”和“细心须”,以后再认真一些吧!
上一篇: 我想当设计师
下一篇: 我的“秘密花园”

我要评论

评论(共0条评论

评论

热门作文

年级热门作文

版权所有 © 2010-2018 郑州市中小学生网上作文博览